
Hộp số tự động ô tô: Là gì? Công dụng? Phân loại? Cấu tạo? Nguyên lý?
1. Hộp số xe tự động là gì ?
Hộp số tự động ô tô là một tổng thành gồm nhiều chi tiết giúp người lái xe không phải thay đổi số vận tốc một cách thủ công, mà hộp số sẽ tự động chuyển sang các số vận tốc phù hợp dựa trên tốc độ và tải trọng của xe. Đây là một bộ phận quan trọng và phức tạp của xe hơi. Nó truyền sức mạnh từ động cơ đến hệ dẫn động, nhờ việc thay đổi tỷ số truyền, từ đó thay đổi mô men xoắn ở các bánh xe giúp tăng giảm tốc độ của xe. Hộp số ô tô tự động giúp truyền sức mạnh từ động cơ đến hệ dẫn động, nhờ việc thay đổi tỷ số truyền, từ đó thay đổi mô men xoắn ở các bánh xe giúp tăng giảm tốc độ của xe.
Giống như hộp số thường, hộp số tự động cho động cơ đặt dọc và đặt ngang được thiết kế để thích ứng công suất động cơ với điều kiện tải và đường xá. Khi tài xế đang lái xe với hộp số thường, cần sang số được sử dụng để chuyển số, khi đạp chân ga nhằm mục đích tăng tốc độ xe. Khi lái xe lên dốc hay khi động cơ không có đủ lực để leo dốc tại số đang chạy, hộp số được chuyển về số thấp. Vì các lý do trên nên điều cần thiết đối với lái xe là phải thường xuyên nhận biết tải và tốc độ động cơ để chuyển số phù hợp.
Ở hộp số tự động, những nhận biết như vậy của lái xe là không cần thiết, lái xe không cần phải chuyển số mà việc chuyển số lên hay xuống đến số thích hợp nhất được thực hiện một cách tự động tại thời điểm thích hợp nhất theo tải động cơ và tốc độ xe.
2. Công dụng của hộp số tự động là gì ?
Công dụng của hộp số tự động cho phép đơn giản hóa việc điều khiển hộp số. Quá trình chuyển số êm dịu, không cần cắt công suất truyền từ động cơ xuống khi sang số. Hộp số tự động tự chọn tỷ số truyền phù hợp với điều kiện chuyển động. Do đó tạo điều kiện sử dụng gẩn như tối ưu công suất của động cơ.
3. Phân loại hộp số tự động
Hiện nay sử dụng trên xe có các loại hộp số tự động như sau:
- Hộp số tự động có cấp AT.
- Hộp số tự động vô cấp CVT.
- Hộp số tự động ly hợp kép DCT
Hộp số tự động vô cấp ít được sử dụng hơn đối với các dòng xe cỡ lớn.
4. Ưu điểm của hộp số tự động trên xe ô tô
So với hộp số thường, hộp số tự động có các ưu điểm sau:
Hộp số tự động thực hiện việc chuyển số chính xác hơn. Nó làm giảm mệt mỏi cho lái xe bằng cách loại bỏ các thao tác cắt ly hợp và thường xuyên phải chuyển số. Nó chuyển số một cách tự động và êm dịu tại các tốc độ thích hợp với các chế độ lái xe do vậy giảm bớt cho lái xe sự cần thiết phải thành thạo các kỹ thuật lái xe khó khăn và phức tạp như vận hành ly hợp. Nó tránh cho động cơ và dòng dẫn động khỏi bị quá tải, do nó nối chúng bằng thủy lực (qua biến mô) tốt hơn so với nối bằng cơ khí.
5. Cấu tạo hộp số tự động xe ô tô

Trong các hộp số tự động đời cũ thường chỉ có hai hệ thống chính là hệ thống thủy lực và hệ thống cơ khí.
Ngày nay, hộp số tự động có 3 hệ thống chính là:
- Hệ thống cơ khí
- Hệ thống thủy lực
- Hệ thống điều khiển điện tử
Chức năng của mỗi hệ thống như sau:
- Biến mô thủy lực: truyền mô men xoắn từ động cơ sang hộp số thông qua dầu hộp số.
- Bơm dầu: Tạo áp suất cho dầu thủy lực
- Hệ thống thủy lực: điều khiển áp suất thủy lực và hướng các dòng thủy lực đến các li hợp và phanh
- Hệ thống điện tử: Thu thập thông tin từ các cảm biến, xử lý thông tin và đưa các tín hiệu điều khiển đến các cơ cấu chấp hành (van solenoid).
- Hệ thống cơ khí: Bánh răng hành tinh, li hợp, phanh ... để truyền lực và biến đổi tỉ số truyền.
Có nhiều hộp số tự động khác nhau, chúng được cấu tạo theo một vài cách khác nhau nhưng chức năng cơ bản và nguyên lý hoạt động của chúng là giống nhau. Hộp số tự động bao gồm một số bộ phận chính. Để hiểu biết đầy đủ hoạt động của hộp số tự động, điều quan trọng là phải nắm được các nguyên lý cơ bản của các bộ phận chính
Các bộ phận chính của hộp số tự động
- Bộ biến mô.
- Bộ bánh răng hành tinh.
- Bộ điều khiển thủy lực.
- Bộ truyền động bánh răng cuối cùng.
- Các thanh điều khiển.
- Dầu hộp số tự động.
Biến mô thủy lực
Biến mô thủy lực được gắn ở trục vào hộp số và được lắp bằng bulông vào trục khuỷu thông qua tấm truyền động. Biến mô có tác dụng như bánh đà của động cơ.
Chức năng của bộ biến mô:
- Tăng mô men do động cơ tạo ra.
- Đóng vai trò như một ly hợp thủy lực để truyền hay không truyền mômen động cơ đến hộp số.
- Hấp thụ các dao động xoắn của động cơ và hệ thống thủy lực.
- Dẫn động bơm dầu của hệ thống điều khiển thủy lực.
Bộ bánh răng hành tinh
Bộ bánh răng bao gồm: các bánh răng hành tinh để thay đổi tốc độ đầu ra, ly hợp và phanh hãm dẫn động bằng áp suất dầu thủy lực để điền khiển hoạt động của bánh răng hành tinh, các trục để truyền công suất động cơ, và các vòng bi giúp cho truyền động quay của trục được êm.
Chức năng của bộ bánh răng hành tinh như sau:
- Cung cấp một vài tỷ số truyền bánh răng để đạt được mômen và tốc độ quay phù hợp với các chế độ chạy xe và điều khiển của lái xe.
- Cung cấp bánh răng đảo chiều để chạy lùi.
- Cung cấp vị trí số trung gian để cho phép động cơ chạy không tải khi xe đỗ..
Hệ thống điều khiển thủy lực
Hệ thống điều khiển thủy lực bao gồm các te dầu, bơm dầu, các loại van với các chức năng khác nhau, các ly hôïp, phanh và các bộ phận khác của hệ thống điều khiển thủy lực.
Chức năng của hệ thống điều khiển thủy lực như sau:
- Cung cấp dầu thủy lực đến bộ biến mô.
- Điều chỉnh áp suất thủy lực do bơm dầu tạo ra.
- Cung cấp áp suất thủy lực đến các ly hợp và phanh để điều khiển hoạt động của bánh răng hành tinh.
- Bôi trơn các chi tiết chuyển động quay bằng dầu.
- Làm mát biến mô và hộp số bằng dầu.
Dầu hộp số tự động Automatic Transmission Fluid
Chức năng của dầu hộp số tự động (ATF):
- Truyền mômen trong bộ biến mô.
- Điều khiển hệ thống điều khiển thủy lực, cũng như hoạt động của ly hợp và phanh trong phần hộp số.
- Bôi trơn các bánh răng hành tinh và các chi tiết chuyển động khác.
- Làm mát các chi tiết chuyển động.
6. Nguyên lý hoạt động các chi tiết trên hộp số tự động
Kết cấu Bộ biến mô

Nguyên lý hoạt động bộ biến mô
![]()
Hoạt động của biến mô khi xe dừng
![]()
Xe dừng tốc độ động cơ thấp Khi xe chạy
Cấu tạo bộ biến mô
![]()
Khuếch đại mômen
Ly hợp khoá biến mô
![]()
Bộ bánh răng hành tinh
![]()
Giảm tốc (i>1)
n1:: là số vòng quay của trục chủ động
n2 : là số vòng quay của trục bị động
![]()
Dẫn động trực tiếp (i=1)

Tăng tốc (i<1)
![]()
Nguyên lý và cấu tạo bộ bánh răng hành tinh trong hộp số tự động
![]()
Bộ truyền bánh răng hành tinh 3 tốc độ (kiểu Simpson)
![]()
Bộ truyền bánh răng hành tinh kép Ravingeaux


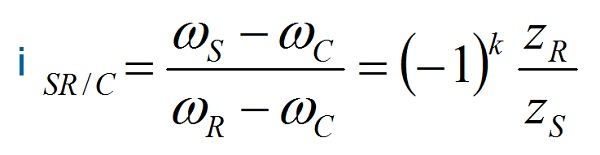
TỈ SỐ TRUYỀN HỘP SỐ TỰ ĐỘNG

• : Tốc độ góc bánh răng mặt trời (1/s)
• : Tốc độ góc bánh răng bao (1/s)
• : Tốc độ góc cần dẫn (1/s)
• : Số răng của bánh răng bao (bánh răng bị động)
• : Số răng của bánh răng mặt trời (bánh răng chủ động)
• K : Số cặp bánh răng ăn khớp ngồi.
Ly hợp nhiều đĩa của hộp số tự động

Tin tức nổi bật
Chênh lệch giá vàng trong nước và thế giới 14/4/2026
Cách quy đổi giá vàng thế giới
Vàng miếng, vàng thỏi, vàng nguyên liệu là gì?
Giá vàng, bạc áp lực giảm do lo ngại lạm phát (theo kitco.com)
So sánh giá vàng Sjc, Doji, Pnj, Phú Quý hôm nay