
Tìm hiểu nhiên liệu dùng cho động cơ đốt trong của ô tô và xe máy
Để có thể hiểu được nguyên lý làm việc của động có đốt trong, trước hết phải tìm hiểu bản chất của các nhiên liệu được sử dụng và hỗn họp giữa nhiên liệu với không khí tạo thành hỗn hợp cháy. Do giới hạn của cuốn sách chúng ta chỉ xét động có xăng và động cơ Diesel là những động có phố biến nhất. Vì vậy, chúng ta cũng chỉ xét nhiên liệu cho các động cơ này là các nhiên liệu lỏng.
Nhiên liệu lỏng dùng trong động cơ đốt trong
Khi linh luyện dầu mỏ hoặc tổng hợp nhiên liệu thể khí hay nhiên liệu rắn la thu được xăng, dầu hỏa, đầu diesel và dầu máy. Trong số đó xăng và dầu diesel được sử dụng làm nhiên liệu cho động có đối trong (từ đây ta gọi ngắn gọn là nhiên liệu). Nhiên liệu thực chất là một hỗn hóp gồm nhiều loại cacbuahydrô với thành phần khác nhau Chính sự khác nhau về thành phần các loại cacbuahydrô trong nhiên liệu dẫn tối sự phân loại nhiên liệu thành các dạng khác nhau.
Dầu diesel
Dầu diesel là loại nhiên liệu nặng với tỷ trọng = 08 - 0,95 g/cm3, có tính tự cháy cao (không cần nguồn lửa bên ngoài).
Thành phần chính dầu diesel
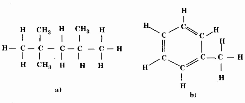
Sở dĩ dầu diescel có tính tự cháy cao vì trong thành phần của nó có nhiều cacbuahydro no CxHy; dạng mạch thẳng nên dễ bị phân huỷ ỏ nhiệt độ cao trong phản ứng Ôxy hóa tỏa nhiệt, ví dụ xêtan CxHy (hình 1.1).

Hình 1-1. Xetan là một loại cacbuahydrô no mạch thẳng
Đánh giá tính tự chây của dầu diesel
Xetan là một cacbuahydrô no, dạng mạch thẳng có tính tự cháy cao. Còn mêtylnaphtalin là một cacbuahydrô có dạng mạch vòng có kết cấu phân tử rất bền vững, do đó tính tự cháy rất kém. Đề đánh giá tính tự cháy của đầu diesel, người ta sử dụng một thông số gọi là số xêtan (Xe). Để xác định số Xe của mội loại đầu diesel, trên một động có thử nghiệm đặc biệt có thể thay đối được tý số nén, theo mội qui trình nhất định, người ta thử nghiệm động có với đầu diesel này. Sau đó, người ta tiến hành thử nghiệm tương tự với nhiên liệu là một hỗn hợp gồm xêtan và mêtylnaphtalin goi là nhiên liệu so sánh. Thành phần xê tan trong hỗn hợp so sánh được điều chỉnh cho đến khi tính tự cháy của hai loại nhiên liệu thử nghiệm là tương đương. Khi đó, thành phần xêtan tính theo % trong hỗn hợp so sánh được cơi là số Xe cần xác định của đầu diesel.
Rõ ràng, số Xe càng lồn thì tính tự cháy của nhiên liệu càng cao và ngược lại. Đối với xêtan, Xe = 100 ; còn đối với mêtyinaphtalin, Xe = 0 ( Các loại dầu diesel thông dụng có Xe nằm trong khoảng 35 - 55. Ở nước ta thường dùng

Hình 2. menaphtalin-có kết cấu phân tử dạng mạch vòng
Dầu D45 và D48 ứng với loại D1 và D2 theo TCVN 35689 - 92 có các thông số sau 84 - 88% C, 10 - 14% H, nhiệt trị thấp Qnl = 4250 kJ/kg.
Xăng
Xăng là loại nhiên liệu nhẹ, có tỷ trọng: 0,65 - 08 g/cm3, để bay hơi và có tính tự cháy kém.
Thành phần chính của xăng
Sở dĩ xăng có tính tự cháy kém vì thành phần của xăng gồm nhiều cacbuahydrô no nhưng có dạng mạch nhánh và cacbuahydro thơm nhân benzen là các kết cầu rất bền vững ví dụ như isôôclan và mêtylbenzen (hình 1- 3).

Hình 1-3. Sơ đồ cấu tạo phân tử; a) isôôcta và b) mêtylbenzen
Trong động có xăng có một hiện tượng cháy không bình thường gắn với bản chất của động có này là hiện tượng cháy kích nổ. Khác với động cơ Diesel là động có có hỗn hợp nhiên liệu - không khí tự cháy do nén còn hỗn hợp trong động có xăng được đốt cưỡng bức bằng tia lửa điện. Sau khi bugi bật tia lửa diện, màng lửa sẽ lan tràn từ bugi ra khấp buồng cháy để đốt hỗn hợp. Đó là quá trình cháy bình thường. Nếu ở một vùng nào đó có những nguyên nhân làm tăng nhiệt độ cục bộ và do đó đủ điều kiện để diễn ra tại đây quá trình tự bốc cháy khi màng lửa từ bugi chưa lan tràn tới thì đó là quá trình cháy không binh thường gọi là cháy kích nổ. Khi đó, tốc độ cháy rất lớn, mặt khác có sự chèn ép dữ dội giữa hai vùng cháy (vùng cháy do ta lửa điện và vùng cháy kích nổ) nên trong xylanh có tiếng gõ rấi đanh, tải trọng động lớn, nhiệt độ và áp suất tại đây rất cao khiến nhiên liệu bị phân hủy nên khí thải có khói đen. Động cơ rất nóng và rung, công suất giảm và không thể tiếp tục làm việc. Rõ ràng, xăng có cầu trúc phản tử càng bền vững thì tính tự cháy càng kém do đó khó xảy ra kích nổ và ngược lại.
Đánh giá tính chống kích nổ của xăng
lsôôctan (hình 1.3) có kết cấu phân tử dạng mạch nhánh nên rất bền vững, có tính chống kích nổ cao. Để đánh giá tính chống kích nổ của xăng, người ta dùng một thông số gọi là số Ốc tan (O). Một hỗn hợp của isoÔctan với Heptan một cacbuahydrô no mạch thẳn -được dùng làm nhiên liệu so sánh với cách thức tương tự như xác định chỉ số xetan của đầu diesel đã trình bày ở trên. Với isôôctan O = 100 ; còn đối với heptan O = 0 Loại xăng nào có trị số ôctan càng cao thì tính chống kích nổ càng lớn. Xăng ô tô thông thường có trị số ôctan trong khoảng 80 - 100. Hiện nay trên thị trường nước ta phố biến ba loại xăng sản xuất theo tiêu chuẩn ASTM của Mỹ là MOGAS 90; 92 và 95 với số ôctan tương ứng là 90; 92; 95, Giữa trị số xetan (Xc) và trị số Ôctan (O) có mỗi quan hệ rất rõ nét, Nhiên liệu có số Xe càng cao thì có số O càng thấp và ngược lại.
Hệ số dự lượng không khí
Trong động có, hỗn họp giữa nhiên liệu và không khí (gọi ngắn gọn là hỗn hộp) được nén và đối trong xylanh nên tỏa nhiệt và sinh công. Mức độ đậm nhạt hay thành phần của hỗn họp là một thông số làm việc quan trọng của động cơ. Thành phần của hỗn hộp được đánh giá thông qua một thông số đặc biệt gọi là hệ số dư lượng không khí và nó đặc trưng cho mức độ đậm nhạt của hỗn hợp. Tùy theo loại động cơ và tùy thuộc vào chế độ làm việc, hệ số này có thể lớn hơn, nhỏ hơn hay bằng 1
Tin tức nổi bật
Sửa các lỗi màn hình ô tô
Đèn Báo Lỗi Động Cơ Sáng Trên Ô Tô - Lỗi nhiều chủ xe thường gặp phải
Nguyên nhân & cách xử lý: Ô tô bị ì, vòng tua cao nhưng tốc độ thấp
Sửa Xe Vios Điều Hòa Ô Tô Không Mát & Tiếng Rít Từ Động Cơ
Xử lý chảy dầu và đại tu hệ thống gầm xe ô tô
Nguyên nhân, dấu hiệu & cách khắc phục xe ô tô báo lỗi khí thải
Lỗi chống trơn trượt, cân bằng điện tử ESP
Dấu hiệu hỏng giảm xóc & cách sửa chữa, bảo dưỡng, thay thế
Xe vào số bị giật khi khởi động và sau khi đi ổn định
Tại sao cần vệ sinh họng nạp & van egr ? Hậu quả ? Phương pháp bắn trấu?
BẢNG GIÁ BÌNH ẮC QUY VARTA NĂM 2024
Báo giá sửa chữa xe công trình năm 2024
Sửa chữa điều hòa ô tô